Como gerar uma onda senoidal com diodos? O Conformador de tensão!
O que é um conformador de tensão?
Muita gente acredita os geradores de funções produzem ondas senoidais por meio de osciladores lineares (harmônicos), por exemplo, o Ponte de Wien. Contudo, esses circuitos não são muito adequados para o uso em geradores de funções. Isto pois, para variar a frequência em suas saídas, ao menos dois componentes (resistores ou capacitores) devem ser variados ao mesmo tempo, o que dificulta um pouco a execução desta tarefa. No caso, a solução realmente utilizada é um circuito chamado Conformador de Tensão, também denominado de Waveshaper. Esse circuito recebe uma onda triangular e a distorce até ela se assemelhar a uma senoide com baixa distorção harmônica.
A implementação do circuito Conformador de Tensão pode ser feita de diversas formas. A estrutura mais comum, porém, é o Conformador de Tensão por Breakpoint, o qual abordaremos neste artigo.
É interessante notar que a onda triangular é a forma de onda fundamental dos geradores de funções, ou seja, servem como base para a geração das demais formas de onda. Isto porquê a sua geração se baseia no uso de um comparador com histerese associado a um circuito integrador. Isto facilita a sua montagem, podendo ser feita com AmpOps ou de forma discreta com fontes de corrente e pares diferenciais. No canal Eletrônica Geral, no Youtube, discutimos a geração de onda triangular por meio de um circuito operacional (clique aqui) e um circuito com 555 (clique aqui). A variação de frequência, normalmente é feita variando-se um resistor da fonte de corrente, ou o capacitor do circuito integrador. Com isso, o uso em um gerador de funções deste tipo de circuito se mostra muito mais adequado do que um oscilador linear.
Algumas características do Conformador de Tensão
Para que a produção de uma onda senoidal a partir de uma onda triangular seja possível, temos que respeitar uma relação de amplitudes entre essas formas de onda. É preciso “fazer caber” uma onda senoidal dentro de uma onda triangular. Neste caso, o melhor casamento ocorre quando a amplitude da senoidal desejada for igual a 2/3 da amplitude da triangular de entrada, como mostra a figura 1.
Neste caso, ambas formas de onda terão regiões em que serão iguais e isso facilita o projeto do circuito conformador.
Outra questão importante é que as formas de onda possuem simetria de um quarto de onda, ou seja, podemos estudar o funcionamento do circuito, analisando o que vai acontecer apenas com uma região da forma de onda (mostrada na figura 1).
Como o Conformador gera a Onda Senoidal?
A geração da onda senoidal ocorre com o uso dos Breakpoints, que são pontos de tensão distribuídos pela forma de onda, que marcam uma mudança de inclinação da onda triangular. A ideia por trás disso é fazer com que a onda triangular siga uma trajetória semelhante a de uma senoidal. A Figura 2 mostra um exemplo dessa estrutura. Nela, os pontos em amarelo são os Breakpoints. Note que o primeiro Breakpoint (V1) é colocado em π/6 (30º). Isto ocorre por causa da relação de amplitudes de 2/3 que escolhemos, uma vez que até 30º, tanto a senoide, quanto a triangular, possuem as mesmas amplitudes (ou muito próximas)!
Observem que após o primeiro Breakpoint, a inclinação da triangular (linha azul) se torna a inclinação #1 (linha tracejada), que segue a forma de onda senoidal desejada. O próximo Breakpoint (V2) é colocado em um novo ponto, quando a forma de onda senoidal começa a se distanciar da linha #1. Com isso, a inclinação do sinal de saída muda de novo, para #2. Quando, novamente, a forma de onda senoidal desejada se distanciar da linha #2, um novo Breakpoint é utilizado e com isso, a inclinação da saída muda novamente para #3. Neste exemplo, utilizamos apenas três Breakpoints, mas o projetista pode usar mais, contudo, isso irá aumentar a complexidade do projeto.
O circuito Conformador de Tensão por Breakpoint
A figura 3 mostra uma das implementações do Conformador de Tensão por Breakpoints. Note que ele é formado por um divisor resistivo (R4, R5, R6 e R7) e três ramos horizontais com diodos (o circuito é simétrico em relação ao terra). As tensões intermediárias do divisor de tensão são as tensões de Breakpoint (V1, V2 e V3). A subtração de 0,7V é uma dica para compensar a queda de tensão dos diodos e simplificar as equações de projeto mais a frente.
A ideia do funcionamento deste circuito é que, em um primeiro momento, quando a tensão triangular de entrada (Vin) tenha baixa amplitude, nenhum dos ramos com diodos conduza e assim Vo=Vin. Quando, Vin atingir o primeiro Breakpoint, o ramo com R1/R2 irá conduzir, mudando a inclinação da onda de saída. No próximo Breakpoint, o ramo com R3 entrará em condução e alterará a inclinação mais uma vez e por fim, quando o último Breakpoint for atingido, o diodo isolado irá conduzir. O último ramo é feito com apenas um diodo, porque, como ele estará mais próximo do pico da senoide, o diodo usará seu comportamento não-linear (a curva I-V é exponencial, lembram?) da região de joelho para “esmerilar” a forma de onda e com isso reproduzir uma curvatura no pico, mais próximo do que se vê em uma senoide!
Vamos projetar este circuito?
A literatura não nos fornece muitas ferramentas para projetar este circuito. Com isso, eu desenvolvi um passo-a-passo para fazer o projeto do conformador por Breakpoint, que segue a seguinte premissa:
- A corrente que passa no divisor resistivo deve ser muito maior do que a corrente que é conduzida nos ramos com diodos. Com isso, quando os diodos atuarem, a variação de tensão nos nós do divisor resistivo será mínima e os Breakpoints se manterão estáveis;
Com isso, podemos descrever as etapas de projeto. Primeiramente, focamos no projeto do divisor resistivo:
Observe que o projeto toma como base a tensão de pico da onda triangular (Vtri). Primeiramente, escolhemos o valor de RT, que é igual a soma dos resistores que compõem o divisor resistivo. Em seguida fazemos a resistência R1 (em série com a tensão de entrada) igual a 10xRT. Com esta escolha, forçamos a corrente dos ramos com diodos (que irão compartilhar R1) a ser bem menor do que a corrente no divisor resistivo. É importante mencionar que você pode escolher uma relação entre R1 e RT diferente, faça seus experimentos e me conte se ficou melhor que a minha margem! Em seguida usamos os valores dos Breakpoints (previamente escolhidos) para calcular todas as resistências do divisor.
A segunda parte do projeto diz respeito ao cálculo dos resistores dos ramos com diodos. Para isso, vamos assumir que a nossa premissa inicial nos permite afirmar que a tensão nos nós do divisor resistivo não variam significativamente e assim vamos considerá-las constantes. Com isso, quando o primeiro ramo conduzir, o circuito pode ser simplificado para
Podemos então levantar uma equação para a tensão de saída (Vo), a qual vai nos dar:
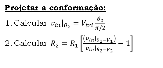
Note que a única variável desconhecida é R2, então podemos manipular a equação e encontrar um expressão para o cálculo desse resistor. Com isso, as próximas etapas do projeto são:
Então, primeiro calculamos a amplitude da entrada no segundo Breakpoint (v2). E utilizamos essa informação para calcular o valor de R2, observe que só precisaremos desse primeiro resultado, dos valores dos Breakpoints e do valor de R1. O cálculo de R3 segue a mesma lógica e podemos escrever as etapas seguintes como:
Planilha de Cálculo - Auxiliando no Projeto
Obviamente, o projeto possui diversas etapas e vocês podem se sentir confusos com isso. Para isso, eu montei uma planilha para auxiliar no projeto. Vocês podem acessá-la clicando no botão a seguir:
Nesta planilha, você vai entrar com o valor da tensão de alimentação, da onda triangular, o valor desejado de RT e os ângulos onde você quer colocar os Breakpoints V2 e V3. O resto será calculado automaticamente, como mostra o snapshot do exemplo acima.
Resultados Obtidos
Tomando como exemplo, os valores calculados na Planilha apresentada na seção anterior, eu montei um circuito conformador no software LTSpice e utilizei as ferramentas de cálculo de THD (taxa de distorção harmônica) do simulador para verificar a qualidade da geração da forma de onda senoidal. Observe o resultado na figura abaixo.
Notem que a forma de onda de saída (Vo) realmente é parecida com uma senoide. Dá para ver claramente que ela não é uma senoide pura, mas o resultado é bem razoável. Ao verificarmos o THD, obtemos um valor de 1,28%, que é um valor baixo (o ideal seria zero, mas é um bom resultado). Para termos noção, um gerador de função analógico como este aqui, apresenta uma THD na ordem de 2%, então o nosso projeto está compatível.
Uma dúvida que pode surgir é se o fato de os resistores calculados serem bastante quebrados irá ser tão crítico assim no projeto. Para responder isso, eu simulei novamente o circuito usando valores de resistores comerciais, como mostrado na tabela ao lado. O resultado eu mostro na Figura 6.
Conseguimos notar que, visualmente não houve grande variação no desempenho do circuito. Avaliando o resultado da THD obtida, ela foi para 1,32%, ou seja, ligeiramente superior ao resultado anterior, o que indica que fazer a aproximação com resistores comerciais não produz um resultado pior. Podemos concluir então que o circuito é razoavelmente robusto à precisão dos componentes utilizados.
Um ponto importante é que se adicionarmos mais Breakpoints no circuito, podemos fazer com que o sinal de saída seja ainda mais semelhante a uma senoide e assim, a distorção será ainda menor. É comum o uso de conformadores de 4 ou 5 níveis (número de breakpoints), acima disso, o aumento de complexidade não justifica o ganho obtido.
Discussão final
Neste artigo nós discutimos um circuito não-linear capaz de produzir uma onda senoidal de baixa distorção. Aprendemos o funcionamento básico deste circuito e como fazer um projeto consistente. Como discutido, o uso de mais Breakpoints (ou níveis) proporcionará uma distorção ainda menor, ao custo de uma maior complexidade no projeto.
Contudo, este circuito possui uma desvantagem: como existe a necessidade de termos as correntes nos ramos com diodos muito pequenas, para não alterarem os valores das tensões de breakpoint, estas definidas pelo resistor resistivo, os diodos conduzem muito próximos de seus joelhos. Assim, caso a frequência do sinal triangular for muito elevada, os diodos terão muita dificuldade de desligar, fazendo com que os ramos conduzam mais tempo do que o desejado e com isso a forma de onda será bem destorcida.
Uma solução para este problema, seria a substituição dos diodos por arranjos com transistores , conforme ilustra a figura 7.
O circuito de exemplo possui alimentação simples, mas um circuito semelhante pode ser proposto para circuitos com alimentação simétrica.
O circuito ao lado funciona de forma semelhante ao discutido neste artigo, mas ao invés de implementar os ramos que irão alterar a inclinação do sinal de saída com diodos, um arranjo composto por um transistor NPN e outro PNP é empregado.
Como cada nó do divisor resistivo enxerga a base de um transistor TBJ, não haverá grandes variações na tensão desses nós quando o circuito for ativando os Breakpoints. Além disso, a combinação dos transistores NPN e PNP anula as quedas de tensão VBE (0,7V), de modo que não há necessidade de se compensar essas quedas na definição das tensões dos nós do divisor resistivo (como feito no circuito deste artigo), ou seja, as tensões dos nós podem ser iguais às tensões de Breakpoint.
Com isso em mente, o procedimento de projeto para os resistores segue o mesmo padrão que foi apresentado anteriormente, com a exceção do resistor R1, que não precisa mais guardar relação com o resistor RT (soma dos resistores do divisor). Com isso, pode-se escolher um R1 mais baixo e assim aumentar a corrente nos diodos (agora a base-emissor dos TBJ) e melhor o desempenho em alta frequência. Por fim, os resistores de emissor (que no exemplo são de 33k) podem ser escolhidos para polarizar os transistores em um ponto de sua região ativa, não havendo um equacionamento específico para eles.
Referências Bibliográficas
Neste artigo, nós vamos discutir um tipo de circuito pouco conhecido mas que é muito utilizado em geradores de funções, que é o Conformador de Tensão, ou Waveshaper. Este circuito é responsável por converter ondas de forma triangular para ondas senoidais de baixa distorção.
Você pode acompanhar este e mais conteúdos sobre eletrônica no nosso canal no Youtube.
O que é um conformador de tensão?
Muita gente acredita os geradores de funções produzem ondas senoidais por meio de osciladores lineares (harmônicos), por exemplo, o Ponte de Wien. Contudo, esses circuitos não são muito adequados para o uso em geradores de funções. Isto pois, para variar a frequência em suas saídas, ao menos dois componentes (resistores ou capacitores) devem ser variados ao mesmo tempo, o que dificulta um pouco a execução desta tarefa. No caso, a solução realmente utilizada é um circuito chamado Conformador de Tensão, também denominado de Waveshaper. Esse circuito recebe uma onda triangular e a distorce até ela se assemelhar a uma senoide com baixa distorção harmônica.
A implementação do circuito Conformador de Tensão pode ser feita de diversas formas. A estrutura mais comum, porém, é o Conformador de Tensão por Breakpoint, o qual abordaremos neste artigo.
É interessante notar que a onda triangular é a forma de onda fundamental dos geradores de funções, ou seja, servem como base para a geração das demais formas de onda. Isto porquê a sua geração se baseia no uso de um comparador com histerese associado a um circuito integrador. Isto facilita a sua montagem, podendo ser feita com AmpOps ou de forma discreta com fontes de corrente e pares diferenciais. No canal Eletrônica Geral, no Youtube, discutimos a geração de onda triangular por meio de um circuito operacional (clique aqui) e um circuito com 555 (clique aqui). A variação de frequência, normalmente é feita variando-se um resistor da fonte de corrente, ou o capacitor do circuito integrador. Com isso, o uso em um gerador de funções deste tipo de circuito se mostra muito mais adequado do que um oscilador linear.
Algumas características do Conformador de Tensão
Para que a produção de uma onda senoidal a partir de uma onda triangular seja possível, temos que respeitar uma relação de amplitudes entre essas formas de onda. É preciso “fazer caber” uma onda senoidal dentro de uma onda triangular. Neste caso, o melhor casamento ocorre quando a amplitude da senoidal desejada for igual a 2/3 da amplitude da triangular de entrada, como mostra a figura 1.
Neste caso, ambas formas de onda terão regiões em que serão iguais e isso facilita o projeto do circuito conformador.
Outra questão importante é que as formas de onda possuem simetria de um quarto de onda, ou seja, podemos estudar o funcionamento do circuito, analisando o que vai acontecer apenas com uma região da forma de onda (mostrada na figura 1).
Como o Conformador gera a Onda Senoidal?
A geração da onda senoidal ocorre com o uso dos Breakpoints, que são pontos de tensão distribuídos pela forma de onda, que marcam uma mudança de inclinação da onda triangular. A ideia por trás disso é fazer com que a onda triangular siga uma trajetória semelhante a de uma senoidal. A Figura 2 mostra um exemplo dessa estrutura. Nela, os pontos em amarelo são os Breakpoints. Note que o primeiro Breakpoint (V1) é colocado em π/6 (30º). Isto ocorre por causa da relação de amplitudes de 2/3 que escolhemos, uma vez que até 30º, tanto a senoide, quanto a triangular, possuem as mesmas amplitudes (ou muito próximas)!
Observem que após o primeiro Breakpoint, a inclinação da triangular (linha azul) se torna a inclinação #1 (linha tracejada), que segue a forma de onda senoidal desejada. O próximo Breakpoint (V2) é colocado em um novo ponto, quando a forma de onda senoidal começa a se distanciar da linha #1. Com isso, a inclinação do sinal de saída muda de novo, para #2. Quando, novamente, a forma de onda senoidal desejada se distanciar da linha #2, um novo Breakpoint é utilizado e com isso, a inclinação da saída muda novamente para #3. Neste exemplo, utilizamos apenas três Breakpoints, mas o projetista pode usar mais, contudo, isso irá aumentar a complexidade do projeto.
O circuito Conformador de Tensão por Breakpoint
A figura 3 mostra uma das implementações do Conformador de Tensão por Breakpoints. Note que ele é formado por um divisor resistivo (R4, R5, R6 e R7) e três ramos horizontais com diodos (o circuito é simétrico em relação ao terra). As tensões intermediárias do divisor de tensão são as tensões de Breakpoint (V1, V2 e V3). A subtração de 0,7V é uma dica para compensar a queda de tensão dos diodos e simplificar as equações de projeto mais a frente.
A ideia do funcionamento deste circuito é que, em um primeiro momento, quando a tensão triangular de entrada (Vin) tenha baixa amplitude, nenhum dos ramos com diodos conduza e assim Vo=Vin. Quando, Vin atingir o primeiro Breakpoint, o ramo com R1/R2 irá conduzir, mudando a inclinação da onda de saída. No próximo Breakpoint, o ramo com R3 entrará em condução e alterará a inclinação mais uma vez e por fim, quando o último Breakpoint for atingido, o diodo isolado irá conduzir. O último ramo é feito com apenas um diodo, porque, como ele estará mais próximo do pico da senoide, o diodo usará seu comportamento não-linear (a curva I-V é exponencial, lembram?) da região de joelho para “esmerilar” a forma de onda e com isso reproduzir uma curvatura no pico, mais próximo do que se vê em uma senoide!
Vamos projetar este circuito?
A literatura não nos fornece muitas ferramentas para projetar este circuito. Com isso, eu desenvolvi um passo-a-passo para fazer o projeto do conformador por Breakpoint, que segue a seguinte premissa:
- A corrente que passa no divisor resistivo deve ser muito maior do que a corrente que é conduzida nos ramos com diodos. Com isso, quando os diodos atuarem, a variação de tensão nos nós do divisor resistivo será mínima e os Breakpoints se manterão estáveis;
Com isso, podemos descrever as etapas de projeto. Primeiramente, focamos no projeto do divisor resistivo:
Observe que o projeto toma como base a tensão de pico da onda triangular (Vtri). Primeiramente, escolhemos o valor de RT, que é igual a soma dos resistores que compõem o divisor resistivo. Em seguida fazemos a resistência R1 (em série com a tensão de entrada) igual a 10xRT. Com esta escolha, forçamos a corrente dos ramos com diodos (que irão compartilhar R1) a ser bem menor do que a corrente no divisor resistivo. É importante mencionar que você pode escolher uma relação entre R1 e RT diferente, faça seus experimentos e me conte se ficou melhor que a minha margem! Em seguida usamos os valores dos Breakpoints (previamente escolhidos) para calcular todas as resistências do divisor.
A segunda parte do projeto diz respeito ao cálculo dos resistores dos ramos com diodos. Para isso, vamos assumir que a nossa premissa inicial nos permite afirmar que a tensão nos nós do divisor resistivo não variam significativamente e assim vamos considerá-las constantes. Com isso, quando o primeiro ramo conduzir, o circuito pode ser simplificado para
Podemos então levantar uma equação para a tensão de saída (Vo), a qual vai nos dar:
Note que a única variável desconhecida é R2, então podemos manipular a equação e encontrar um expressão para o cálculo desse resistor. Com isso, as próximas etapas do projeto são:
Então, primeiro calculamos a amplitude da entrada no segundo Breakpoint (v2). E utilizamos essa informação para calcular o valor de R2, observe que só precisaremos desse primeiro resultado, dos valores dos Breakpoints e do valor de R1. O cálculo de R3 segue a mesma lógica e podemos escrever as etapas seguintes como:
Planilha de Cálculo - Auxiliando no Projeto
Obviamente, o projeto possui diversas etapas e vocês podem se sentir confusos com isso. Para isso, eu montei uma planilha para auxiliar no projeto. Vocês podem acessá-la clicando no botão a seguir:
Nesta planilha, você vai entrar com o valor da tensão de alimentação, da onda triangular, o valor desejado de RT e os ângulos onde você quer colocar os Breakpoints V2 e V3. O resto será calculado automaticamente, como mostra o snapshot do exemplo acima.
Resultados Obtidos
Tomando como exemplo, os valores calculados na Planilha apresentada na seção anterior, eu montei um circuito conformador no software LTSpice e utilizei as ferramentas de cálculo de THD (taxa de distorção harmônica) do simulador para verificar a qualidade da geração da forma de onda senoidal. Observe o resultado na figura abaixo.
Notem que a forma de onda de saída (Vo) realmente é parecida com uma senoide. Dá para ver claramente que ela não é uma senoide pura, mas o resultado é bem razoável. Ao verificarmos o THD, obtemos um valor de 1,28%, que é um valor baixo (o ideal seria zero, mas é um bom resultado). Para termos noção, um gerador de função analógico como este aqui, apresenta uma THD na ordem de 2%, então o nosso projeto está compatível.
Uma dúvida que pode surgir é se o fato de os resistores calculados serem bastante quebrados irá ser tão crítico assim no projeto. Para responder isso, eu simulei novamente o circuito usando valores de resistores comerciais, como mostrado na tabela ao lado. O resultado eu mostro na Figura 6.
Conseguimos notar que, visualmente não houve grande variação no desempenho do circuito. Avaliando o resultado da THD obtida, ela foi para 1,32%, ou seja, ligeiramente superior ao resultado anterior, o que indica que fazer a aproximação com resistores comerciais não produz um resultado pior. Podemos concluir então que o circuito é razoavelmente robusto à precisão dos componentes utilizados.
Um ponto importante é que se adicionarmos mais Breakpoints no circuito, podemos fazer com que o sinal de saída seja ainda mais semelhante a uma senoide e assim, a distorção será ainda menor. É comum o uso de conformadores de 4 ou 5 níveis (número de breakpoints), acima disso, o aumento de complexidade não justifica o ganho obtido.
Discussão final
Neste artigo nós discutimos um circuito não-linear capaz de produzir uma onda senoidal de baixa distorção. Aprendemos o funcionamento básico deste circuito e como fazer um projeto consistente. Como discutido, o uso de mais Breakpoints (ou níveis) proporcionará uma distorção ainda menor, ao custo de uma maior complexidade no projeto.
Contudo, este circuito possui uma desvantagem: como existe a necessidade de termos as correntes nos ramos com diodos muito pequenas, para não alterarem os valores das tensões de breakpoint, estas definidas pelo resistor resistivo, os diodos conduzem muito próximos de seus joelhos. Assim, caso a frequência do sinal triangular for muito elevada, os diodos terão muita dificuldade de desligar, fazendo com que os ramos conduzam mais tempo do que o desejado e com isso a forma de onda será bem destorcida.
Uma solução para este problema, seria a substituição dos diodos por arranjos com transistores , conforme ilustra a figura 7.
O circuito de exemplo possui alimentação simples, mas um circuito semelhante pode ser proposto para circuitos com alimentação simétrica.
O circuito ao lado funciona de forma semelhante ao discutido neste artigo, mas ao invés de implementar os ramos que irão alterar a inclinação do sinal de saída com diodos, um arranjo composto por um transistor NPN e outro PNP é empregado.
Como cada nó do divisor resistivo enxerga a base de um transistor TBJ, não haverá grandes variações na tensão desses nós quando o circuito for ativando os Breakpoints. Além disso, a combinação dos transistores NPN e PNP anula as quedas de tensão VBE (0,7V), de modo que não há necessidade de se compensar essas quedas na definição das tensões dos nós do divisor resistivo (como feito no circuito deste artigo), ou seja, as tensões dos nós podem ser iguais às tensões de Breakpoint.
Com isso em mente, o procedimento de projeto para os resistores segue o mesmo padrão que foi apresentado anteriormente, com a exceção do resistor R1, que não precisa mais guardar relação com o resistor RT (soma dos resistores do divisor). Com isso, pode-se escolher um R1 mais baixo e assim aumentar a corrente nos diodos (agora a base-emissor dos TBJ) e melhor o desempenho em alta frequência. Por fim, os resistores de emissor (que no exemplo são de 33k) podem ser escolhidos para polarizar os transistores em um ponto de sua região ativa, não havendo um equacionamento específico para eles.
Referências Bibliográficas
Compartilhe:
- Compartilhar no X(abre em nova janela) 18+
- Compartilhar no Facebook(abre em nova janela) Facebook
- Compartilhar no WhatsApp(abre em nova janela) WhatsApp
- Compartilhar no LinkedIn(abre em nova janela) LinkedIn
- Compartilhar no Pinterest(abre em nova janela) Pinterest
- Compartilhar no Telegram(abre em nova janela) Telegram
Artigos Relacionados
Descubra mais sobre Eletrônica Geral
Assine para receber nossas notícias mais recentes por e-mail.
